Wskaźniki marketingu analitycznego
Mówi się, że połowa wszystkich wydatków na marketing jest niepotrzebna – tylko nie wiadomo która. Biorąc po uwagę, że wartość netto rynku reklamowego w Polsce w 2020 r. wyniosła 9,97 mld złotych¹, widać, jak wiele można zyskać dzięki marketingowej analityce. Jakie wskaźniki marketingowe faktycznie należy mierzyć? Jakich KPIs użyć, aby weryfikować zasadność prowadzonych kampanii? Jak policzyć stopę migracji i dlaczego warto postawić na NPV zamiast ROI? Poznaj 10 najskuteczniejszych wskaźników marketingowych i dowiedz się, jak właściwie ich używać.
Wskaźniki finansowe
Marketerzy rzadko operują językiem finansów. Przyjęło się bowiem mówić, że marketing jest związany z brandingiem (czyli budowaniem marki w świadomości klientów), a co za tym idzie – nie sposób mierzyć jego efektów. Nic bardziej mylnego: dokonywanie pomiarów marketingowych za pomocą wskaźników finansowych jest jak najbardziej możliwe i jak zaraz się okaże – całkiem łatwe.
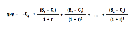
Wskaźnik 1. Npv wartość bieżąca netto
Panuje błędne przeświadczenie, że kampanii marketingowych (a szczególnie tych o różnych kosztach) nie można ze sobą porównywać. Jest to jednak mit – ten, kto zna net present value, wie, że jest to możliwe. Wskaźnik NPV oblicza się ze wzoru:
Jego obliczenie jest stosunkowo proste: koszt kampanii odejmuje się od jej wartości bieżącej. Jeśli w czasie 0 ponosimy wydatek na kampanię, to w każdym kolejnym okresie Bn nastąpią wpływy gotówkowe osiągnięte dzięki tym działaniom. Gdy koszt tych kampanii oznaczymy jako Cn, wówczas obliczamy wartość wszystkich wpływów i pomniejszając ją o koszt ich uzyskania, otrzymamy tzw. zysk zdyskontowany (1+r) o wartość pieniądza w czasie (czyli uwzględniający inflację). Dzięki temu, że wartości są w tym wskaźniku rozkładane w czasie, wiemy, ile tak naprawdę warte będą przyszłe wpływy z kampanii.
Ogólnie przyjmuje się, że w sytuacji, gdy NPV jest wyższe od zera – powinniśmy inwestować (uruchamiać kampanię). Wtedy bowiem średnia korzyść w kolejnym okresie będzie większa od średniego kosztu jej uzyskania (i to nawet jeśli założymy, że zyskane środki będą w przyszłości warte mniej). W marketingu wyliczanie NPV doskonale sprawdza się przy planowaniu długoterminowych kampanii. Oczywiście, nie jest to dokładny wskaźnik i zawsze będzie wiązał się z pewnym ryzykiem subiektywizmu (i brakiem jakościowych elementów), niemniej jednak warto go stosować.
Wykorzystałeś swój limit bezpłatnych treści
Pozostałe 85% artykułu dostępne jest dla zalogowanych użytkowników portalu. Zaloguj się, wybierz plan abonamentowy albo kup dostęp do artykułu/dokumentu.






