Zmodyfikowana wewnętrzna stopa zwrotu (Modified Internal Rate of Return, MIRR)
Dynamiczna metoda oceny efektywności ekonomicznej projektów inwestycyjnych, a także wskaźnik finansowy, wyznaczony w oparciu o tę metodę. Uwzględnia ona zmiany wartości pieniądza w czasie i bazuje na analizie zdyskontowanych przepływów pieniężnych. MIRR jest to zatem stopa dyskontowa, dla której (zdyskontowana) wartość końcowa inwestycji jest równa zaktualizowanej wartości nakładów inwestycyjnych na projekt. Przy czym wartość końcowa to wartość przyszła nadwyżek finansowych netto generowanych przez projekt, składanych za pomocą stopy równej kosztowi kapitału. W porównaniu do IRR (Internal Rate of Return) modyfikacja polega na tym, że nie dyskontujemy od razu dodatnich przepływów pieniężnych, ale obliczamy ich wartość przyszłą według kosztu kapitału, która to wartość (jako suma) dopiero jest dyskontowana do momentu bieżącego. A zatem bieżąca (aktualna) wartość ujemnych przepływów kapitałowych, obliczona przy stopie dyskontowej równej kosztowi kapitału inwestora, powinna być równa przyszłej (liczonej na koniec ostatniego roku obliczeniowego) wartości dodatnich przepływów pieniężnych otrzymanych przy założeniu, że będą one reinwestowane po koszcie kapitału r.
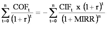
gdzie:
COFt – ujemne przepływy pieniężne w roku t,
CIFt – dodatnie przepływy pieniężne w roku t,
r – stopa dyskontowa stosowana przez inwestora (koszt kapitału),
n – okres obliczeniowy (w latach), będący sumą okresu ponoszenia nakładów inwestycyjnych i okresu osiągania dodatnich przepływów pieniężnych.
Zastosowanie formuły dyskontowanej wartości końcowej dodatnich przepływów pieniężnych w oparciu o koszt kapitału usuwa większość problemów związanych z podejmowaniem błędnych decyzji bazujących na metodzie IRR. Założenie o reinwestowaniu środków według kosztu kapitału, a nie wewnętrznej stopy zwrotu projektu, powoduje, że lepiej oddajemy rzeczywistą dochodowość projektu. Oznacza to, iż dodatnie przepływy pieniężne są reinwestowane na rynku kapitałowym po stopie równej kosztowi kapitału za czas do zakończenia okresu eksploatacji projektu. Przekształcając powyższy wzór, otrzymujemy:
MIRR > r – akceptujemy projekt.
MIRR MIRR = r – wymagane dodatkowe uzasadnienie o przyjęciu lub odrzuceniu projektu.
Natomiast w przypadku oceny kilku projektów inwestycyjnych, za najkorzystniejszy uważa się ten, dla którego MIRR osiąga największą wartość. Wyboru należy dokonywać ze zbioru tych projektów, których wartość MIRR jest większa od kosztu kapitału.







